Carr and the Settlements – enter Julie Bishop
Shadow Foreign Minister Julie Bishop has commented on remarks made by Australian Foreign Senator Bob Carr when visiting a mosque last week stating that all Israeli settlements on Palestinian land are illegal.
Julie Bishop told J-Wire: “Senator Bob Carr has achieved a significant shift in Labor policy with regard to Israel.
He has made repeated statements condemning Israel and signed the AUKMIN 2013 Communiqué that declared “All settlements are illegal under international law and settlement activity undermines the prospects for peace.”
Senator Carr has also voted against Coalition motions in the Senate which condemned the antisemitic Boycott, Divestment and Sanctions (BDS) campaign.
The Coalition has consistently supported the two-state solution and right of the Israeli and Palestinian peoples to live in peace and safety behind internationally recognised borders.”
J-Wire asked what the Coalition policy is. Ms Bishop responded: “The Coalition urges both sides of the conflict to honour its commitments and, in the absence of any agreed view in international law, does not pass judgement, in recognition of the hotly disputed nature of the opposing arguments.”
But Foreign Minister Carr has reacted strongly to Julie Bishop’s statement. A spokesman for Senator Carr told J-Wire: “We have never made a statement condemning Israel. Words are very important and it’s important they are not misrepresented. Yes, we have expressed “concern”, we have expressed “grave concern” and we have expressed “disappointment” in relation to the settlements. This does not amount to a condemnation of Israel or anything like it. And as far as the BDS is concerned, Labor and the Coalition have always opposed it and continue to do so. As far as we aware only the Greens have shown support for it.”
This subject had been raised in Parliament by Ms Bishop earlier this year….












Why has there been no comment from the champion of the Jewish cause in federal parliament, michael danby.
not only is there deafening silence,but he should have been the FIRST to condemn his foreign minister,bob carr.
…..thats assuming that he disagrees with him,which it appears he doesn’t
Steve
I would suggest that every Labor candidate – not only Michael Danby – seeking election – including the Prime Minister – tell the electors whether he or she agrees with the policy foisted on the Labor Party by Senator Carr in his “Lakemba Mosque Declaration” claiming that Jews are breaking the law by living in the West Bank.
Was the Declaration the result of a carefully considered decision by the Labor Party – or was it the brainchild of Senator Carr and perhaps Mr Rudd.made on the spur of the moment as a potential vote getter?
Any political party having a policy that is openly anti-Jewish, anti-Moslem, anti- anything must be prepared to justify that policy with sound, well researched and reasoned arguments.
What has now been produced by Julie Bishop as Carr’s justification for holding the view he does and now declaring that view to be Labor Party policy – is totally lacking in credibility and substance.
How Carr and now the Labor Party can espouse this anti-Jewish policy without ever having considered the applicability of article 6 of the Mandate for Palestine and article 80 of the UN Charter needs to be explained by Carr and Rudd without delay.
If you only consider half the applicable law – sure as eggs you are only going to get half an answer.
Julie Bishop has actually been very careful with her words: on the one hand the Libs. don’t pass judgement where there is international disagreement (in law) on the settlements, and on the other, they support two independent states living securely within ‘internationally recognised borders”. The latter could, and probably does, fall into the category of the former. Despite seemingly more support for Israel from the Liberals, obviously this is an opportunity for Bishop to attack Carr, and Labor, during an election campaign. Let’s not get too romantic about it.
As for Carr not seeking proper advice before making a decision and shooting his mouth off on such an important subject, it’s the nature of the man – he’s the expert on everything.
Bob Carr is playing us for fools.
If his claim that Jews have no right to legally live in the West Bank – without any binding legal decision to support his claim – is not a condemnation of Israel – then what is?
Carr needs to come clean on what motivated his department to not seek legal advice from the Attorney General’s office before making and then repeating his regrettable statement regarding Jewish settlement in the West Bank.
The reason for Carr not seeking legal advice from the Attorney General might be the fact that the Attorney General is Jewish?
Rita
To be fair to Carr – Dreyfus only became Attorney General on 4 February 2013.
Carr had condemned Israel’s settlements as illegal long before then.
Why Carr would rely on any advice from any source that had not considered the applicability of the Mandate and article 80 of the UN Charter is the real issue that Carr now needs to explain.
Until he does – his credibility and that of the Department of Foreign Affairs and Trade remains tarnished and in tatters.
With a seat on the UN Security Council – Australia needs to be seen to act fairly and impartially in the conduct of foreign policy.
Carr’s comments at the Lakemba mosque in the midst of an election campaign are anything but.
Committing the Labor party to a policy based on the information disclosed so far by Carr’s Department is scandalous.
I am just (re-)reading “The Latham Diaries”, where I read on page 33:
“…Carr, however, couldn’t give a shit about anyone bar himself. He’s always struck me as the kid from the schoolyard who was so gawky that he got pounded with rocks every day. The rest of his life has been a solo mission to prove the rock-throwers wrong, that someone out there (anyone will do) might like him. From what I can see, it hasn’t worked so far…”
I agree with Mark Latham. As to “anyone will do”? Indeed, this is obvious as to the kind of people he is courting now. When it came to the vote against Israel at the UN, I had hoped that Julia Gillard, who always had declared a pro-Israel stance, would have the ethical fortitude to stand by her principles, but the Jew-hating Bob Carr won the day. It is pretty obvious to me on what side Bob Carr would have goose-stepped during the Holocaust.
And yes, Julie Bishop (whom I respect as much as I disrespect Carr) is correct – if the whistles of Carr are not a condemnation of Israel… Playing semantics does not hide his hooves.
Ms Bishop’s statement is to be applauded in recognising that there is no agreement in international law regarding the right of Jews to settle in the West Bank.
In the absence of a binding Court declaration this Issue will indeed continue to be “hotly disputed”.
Trying to pretend the issue has been judicially decided as Sen.Carr claimed at the Lakemba mosque and on other previous occasions – is false and misleading.
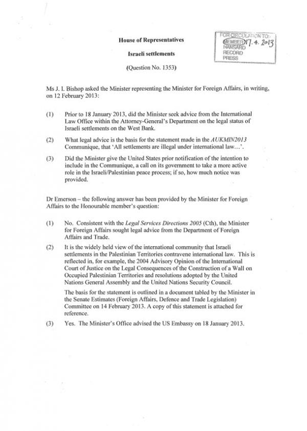
What is disturbing in Ms Bishop’s statement is the answer supplied by Mr Emerson to Ms Bishop on 14 April 2013 which indicates:
1. No legal advice was sought by the Department of Foreign Affairs and Trade (DFAT) from the international law division of the Attorney General’s Department – which on such a significant matter of policy would seem to have been the most prudent thing to do. The specific reasons for not seeking such advice should be made available by Senator Carr. The justification given in the answer for not approaching the Attorney General needs to be amplified.
2. The document attached to Mr Emerson’s answer is certainly not legal advice – especially since it failed to consider the legal effect of the Mandate for Palestine and article 80 of the UN Charter in legalising the right of Jews to settle in the West Bank for the purposes of reconstituting the Jewish National Home.
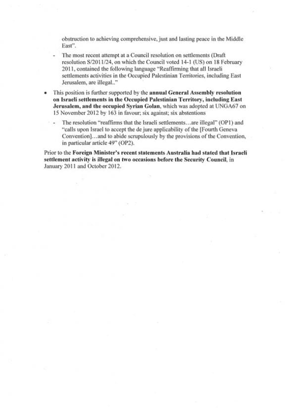
One report that did consider the Mandate and article 80 and also considered the applicability of the Fourth Geneva Convention was the Levy Report – published on 9 July 2012.
http://elderofziyon.blogspot.com.au/2012/07/english-translation-of-legal-arguments.html#.Ughd2ssaySM
Why was there no mention of the Levy report in the DFAT “legal advice” submitted to support the questions asked of the Minister?
Was it read or considered by DFAT before the advice was drafted?
There was mention of UN Security Council and General Assembly Resolutions – but no mention of a Report which dealt with a specific section in the UN Charter which Australia is bound to uphold.
Why the reluctance to examine article 80 and form an opinion on its meaning and relevance?
Australia now has a seat on the Security Council. It would be most embarrassing if Australia was seen to be espousing a policy that was contrary to an express provision in the UN Charter.
That appears to be the problem with the announced Labor Party policy on the right of Jews to live in the West Bank.
Running with the baying mob under the doctrine of “the widely held view of the international community” cannot substitute for Australia forming its own independent policy after considering the best legal advice available to it.
That has clearly not happened in this case.